T细胞活化是适应性免疫应答的核心环节,其激活依赖于三个关键信号:T细胞受体(TCR)对抗原的识别、共刺激信号以及细胞因子信号。与这一经典机制不同,CAR-T细胞的活化融合了天然T细胞的核心原理与人工设计的嵌合抗原受体(CAR)结构特性,使其能够绕过传统的TCR–MHC限制,直接识别肿瘤表面抗原并高效杀伤肿瘤细胞。通过CAR的合理设计,仅依靠其胞外域与表位的识别与结合,即可实现CAR-T细胞的完全活化。
当CAR特异性识别肿瘤相关表面抗原(Tumor-associated surface antigens, TAA)后,可启动T细胞活化程序,促进其增殖与分化,进而执行关键效应功能。这些功能包括释放颗粒酶(Granzyme B)和穿孔素(Perforin),直接诱导肿瘤细胞凋亡;同时分泌干扰素-γ(IFN-γ)、肿瘤坏死因子-α(TNF-α)等细胞因子,进一步招募其他免疫细胞并重塑肿瘤微环境。

Source: Front Immunol.
在CAR-T细胞的研发与转化过程中,对其功能特性的评估至关重要,且标准化需求日益凸显。目前,此类评估通常依赖于将CAR-T细胞与表达目标抗原的细胞系共培养,进而检测其效应功能。然而,传统肿瘤细胞系存在明显的局限性:其在处理与培养过程中易出现活力下降、代谢状态改变或基因突变等问题,影响实验结果的重复性与可靠性。
为克服上述挑战,ACROBiosystems百普赛斯依托高质量抗原靶点蛋白开发平台、磁珠技术平台及细胞功能分析平台,面向细胞功能研究与应用场景,成功开发出细胞级别靶点蛋白和靶点特异性激活磁珠系列,覆盖CD19、BCMA、CD22、Her2等多个热门靶点,可有效诱导CAR-T细胞的特异性活化。CAR-T活化可以通过CD69和CD137表达上调进行检测,活化后的CAR-T细胞能够激发包括细胞毒性活性和细胞因子释放在内的多种效应功能,其反应模式与传统肿瘤细胞系所触发的结果高度相似,为CAR-T细胞的功能表征提供了一个稳定、可控的标准化检测平台。

添加小助手,了解更多产品及服务详情
为评估不同刺激形式对CAR-T细胞活化的影响,我们以CD19靶点为例,分别采用CD19 蛋白(Cat. NO. CD9-H5251)和CD19磁珠(Cat. NO. MBS-C002)对CD19 CAR-T细胞进行24小时与48小时的刺激。随后分别收集细胞及上清液,通过流式细胞术检测关键生物标志物的表达情况及细胞因子分泌水平。实验结果显示,细胞级别CD19 蛋白与CD19磁珠均能有效激活CAR-T细胞,诱导其执行效应功能;但在相同蛋白量条件下,CD19磁珠表现出更强的激活能力。
实验设计

注:为比较偶联于磁珠的CD19蛋白(Cart. MBS-C002)与非偶联的游离形式CD19蛋白(Cat. CD9-H5251)对CAR-T细胞的刺激效果,本实验基于磁珠上偶联的CD19蛋白量,加入了等量的游离CD19蛋白作为对照。
CAR-T激活效果
CD19蛋白与CD19 磁珠均能刺激激活CAR-T细胞表达CD69和CD137。然而,在等量蛋白浓度下,CD19磁珠的激活效果更强。与此一致的是,经CD19磁珠刺激的CAR-T细胞也表现出更高水平的LAG-3和PD-1。
-
Activation Marker

-
Exhaustive Marker

细胞因子与毒性分子表达
CD19蛋白与CD19磁珠均能模拟传统肿瘤细胞,成功诱导CD19 CAR-T细胞产生多种效应功能,包括细胞因子分泌和细胞毒性分子的表达。与上述表型活化结果一致,在等效蛋白剂量下,CD19磁珠的激活能力显著更强,所诱导的细胞因子与细胞毒性分子水平也更高。
-
Cytokines

-
Cytotoxic Molecules

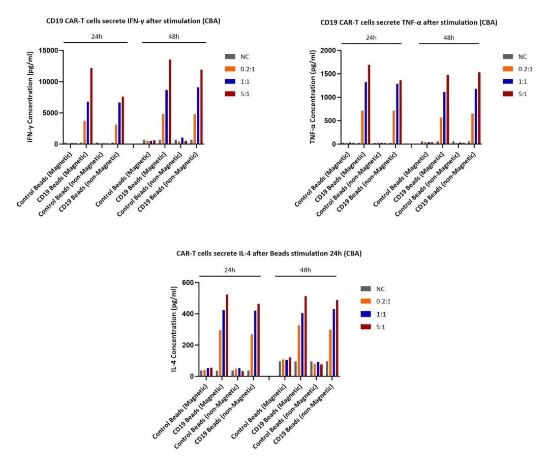
为进一步评估磁珠物理性质对CAR-T细胞激活的影响,我们比较了CD19磁珠(Cat. NO. MBC-C002)与CD19非磁性微珠(Cat. NO. MBS-C034)在相同实验条件下的激活效能。结果显示,两者均能有效激活CAR-T细胞,但其动力学存在差异:在24小时的短期刺激中,磁性微珠展现出更强的激活能力;然而,当刺激时间延长至48小时,两种微珠的激活效果则趋于相当。
实验设计

CAR-T激活效果
-
Activation Marker

-
Exhaustive Marker

细胞因子与毒性分子表达
-
Cytokines

-
Cytotoxic Molecules

以上数据表明,我们的细胞级别靶点蛋白及磁珠/非磁性珠均可以特异性激活CAR-T细胞的基本效应功能。该系列产品为建立从早期研发到临床转化的全流程CAR-T细胞功能评估标准化体系,提供了关键工具。

ACROBiosystems百普赛斯致力于为细胞治疗等领域提供高度个性化的研发解决方案。依托ActiveMax®技术平台,我们可为您提供专业的定制化偶联磁珠服务,精准匹配您独特的研究需求。我们的定制服务支持开发多重抗原联用磁珠,或携带特定点突变抗原的磁珠,以有效应对复杂的CAR设计验证及肿瘤抗原逃逸等挑战。此外,我们同样提供GMP级别的定制磁珠产品,全面助力您的药物从早期研发到临床申报的全流程。

扫码了解磁珠产品与服务详情

Jogalekar MP, Rajendran RL, Khan F, Dmello C, Gangadaran P, Ahn BC. CAR T-Cell-Based gene therapy for cancers: new perspectives, challenges, and clinical developments. Front Immunol.

ACROBiosystems
inquiry@acrobiosystems.com
15117918562
(备注:姓名+公司)
